Lewis Y抗原五糖-β-N-乙酰基-丙炔介绍
GlycoBricks® 是从生物活性寡糖中分离出来的官能团化低聚糖。
¤在Glycobricks®的还原端上有不同类型的活性基团可供选择接枝
Glycobricks®目录或数量以外的定制需求需重新评估。
¤可提供毫克到数克规模的产品。
¤按照可规模生产的过程生产,以便于潜在的工业应用。
¤在Glycobricks®的还原端上有不同类型的活性基团可供选择接枝

¤可提供毫克到数克规模的产品。
¤按照可规模生产的过程生产,以便于潜在的工业应用。
活性与使用
亲和吸附剂:
• 微球/树脂
• 抗体纯化/去除
• 病毒、毒素、凝集素
• 免疫研究
点击化学
• 宏观结构的构建(糖簇, 树枝状聚合物...)
• 用于多糖阵列固化
标记低聚糖
• 荧光探针或生物素标记
• 成像,相互作用分析,HPLC分析,靶向
• 微球/树脂
• 抗体纯化/去除
• 病毒、毒素、凝集素
• 免疫研究
点击化学
• 宏观结构的构建(糖簇, 树枝状聚合物...)
• 用于多糖阵列固化
标记低聚糖
• 荧光探针或生物素标记
• 成像,相互作用分析,HPLC分析,靶向
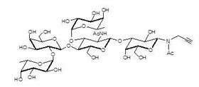
Lewis Y抗原五糖-β-N-乙酰基-丙炔结构说明
Lewis Y抗原五糖-β-N-乙酰基-丙炔,Lewisy pentaose-β-NAc-Propargyl,
Fucα1-2Galβ1-4(Fucα1-3)GlcNAcβ1-3Galβ-NAc-Prop
C37H60N2O24
FW 916.87
货号:GLY052-NPR
Fucα1-2Galβ1-4(Fucα1-3)GlcNAcβ1-3Galβ-NAc-Prop
C37H60N2O24
FW 916.87
货号:GLY052-NPR
结构:

Lewis Y抗原五糖-β-N-乙酰基-丙炔产品列表
| 货号 | 品名 | 包装 |
| GLY052-NPR | Lewisy pentaose-β-NAc-Propargyl | 1mg |
| GLY052-NPR | Lewisy pentaose-β-NAc-Propargyl | 5mg |
Lewis Y抗原五糖-β-N-乙酰基-丙炔相关血型和Lewis抗原