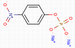
对硝基苯基磷酸钠六水合物
包装:1kg
- 英文名:p-Nitrophenyl Phosphate Disodium Salt Hexahydrate;PNPP.2Na
- 别名:4-硝基苯磷酸二钠 六水合物 pNPP 二钠 六水合物 对硝基苯磷酸二钠
- 级别:99%
- 分子式:C6H4NO6PNa2.6H2O
- 分子量:371.15
- 品牌:Seebio
- CAS:4264-83-9
- 外观:类白色结晶性粉末
*西宝提示:我司所销售的化学试剂、原料等所有产品(包括但不限于抗生素类、蛋白质类、试剂盒类产品等)仅限用于科学研究用途,不得作用于人体。
测定磷酸酶的显色底物;测定酸性和碱性磷酸酶(phosphatases)的显色底物;反应能产生黄色的末端产物,在波长405nm可以读取,该反应能被3 N NaOH溶液终止。酸性和碱性磷酸酶测定的显色底物。
存储条件:2-8℃冷藏,避光。
![]() |
![]() |
![]() |
| 官网:www.cxbio.com | 微信服务号:iseebio | 微博:seebiobiotech |
![]() |
![]() |
![]() |
| 商城:mall.seebio.cn | 微信订阅号:seebiotech | 泉养堂:www.canmedo.com |
| * 联系人: | 请填写您的真实姓名 |
| * 手机号码: | 请填写您的联系电话 |
| * 电子邮件: | |
| * 采购意向描述: | |
| 验证码: |
|

- 十二烷基硫酸钠 >99.0%
- Sodium dodecyl sulfate ; CAS# / EC#:151-21-3SDS

- 对硝基苯磷酸钠六水合物
- p-nitrophenyl phosphate ; CAS# / EC#:4264-83-95'-IMPPNPP 碱性磷酸酶显色底物,生成可溶性黄色底物,3M氢氧化钠终止,405nm读数

- IPTG
- IPTG,用于蓝白斑筛选。Isopropyl β-D-1- thiogalactopyranoside ;简称:IPTGIsopropyl β-D-1- thiogalactopyranoside ,IPTG异丙基-β-D-硫代半乳糖苷367-93-1
| 我要评论: | |
| *内 容: |
|
| 验证码: |
|
科研产品
品牌产品
- Seebio
- WAKO
- Jackson
- Ludger
- APSC
- Lumiprobe
- Bioporto
- Elicityl
- Sigma
- NISSUI
- Research Diets
- Eppendorf
- BioAssay
- Medicom
- ACTIVE MOTIF
- Labnet
- Biovendor
- Megazyme
- Abcam
- Aalto
- Immunolab
- USP
- Invent
- Daicel(大赛璐)
- Life Diagnostics
- TdB
- Dr. Ehrenstorfer
- Laysan
- Fortis
- Reagecon
- Miragen
技术服务
健康保健

西宝生物科技(上海)股份有限公司
客服电话:400-021-8158
公司传真: 021-50272982
公司邮箱:
market@seebio.cn
公司地址:总部:中国(上海)自由贸易试验区毕升路299弄11号502室 邮编:201204
研发生产中心:上海市浦东新区川宏路508号5幢 邮编:201202












共有-条评论【我要评论】